Learn More
Apexbio Technology LLC Glatiramer acetate 147245-92-9 5mg

Supplier: Apexbio Technology LLC B49785
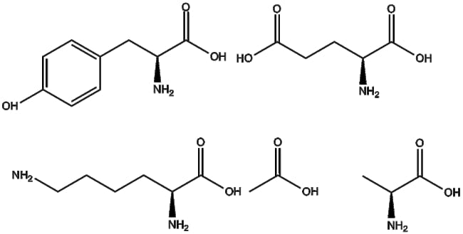
Glatiramer acetate (GA) is a synthetic immunomodulatory polypeptide structurally composed of random sequences of four amino acids GA modulates immune responses mainly through affecting dendritic cell (DC) function In vitro studies indicate GA suppresses IL-12p70 secretion in immature DC following lipopolysaccharide stimulation promoting DC differentiation favoring Th2 lineage cells and elevated IL-10 production Further in vivo studies reveal GA treatment alters cytokine profiles and enhances expression of neurotrophic factors such as BDNF NT-3 and NT-4 within specific brain regions of experimental autoimmune encephalomyelitis mouse models highlighting its utility in immune research and autoimmune disease investigations
By clicking Submit, you acknowledge that you may be contacted by Fisher Scientific in regards to the feedback you have provided in this form. We will not share your information for any other purposes. All contact information provided shall also be maintained in accordance with our Privacy Policy.