Learn More
Apexbio Technology LLC GW 583340 dihydrochloride 10mg

Supplier: Apexbio Technology LLC B698910
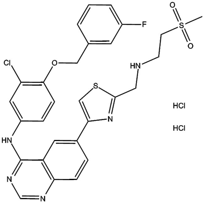
GW 583340 dihydrochloride (CAS 1173023-85-2) is a small molecule inhibitor targeting the tyrosine kinase activity of both EGFR and ErbB2 exhibiting potent inhibitory effects with IC50 values of 0 01 M and 0 014 M respectively In addition to suppressing these receptor-mediated signaling pathways GW 583340 dihydrochloride has been shown to inhibit ABC transporters including ABCG2 and ABCB1 thereby reversing transporter-associated multidrug resistance This compound is utilized in tumor biology research to investigate the modulation of oncogenic signaling mechanisms underlying drug resistance and to explore potential therapeutic strategies
By clicking Submit, you acknowledge that you may be contacted by Fisher Scientific in regards to the feedback you have provided in this form. We will not share your information for any other purposes. All contact information provided shall also be maintained in accordance with our Privacy Policy.