Promotional price valid on web orders only. Your contract pricing may differ. Interested in signing up for a dedicated account number?
Learn More

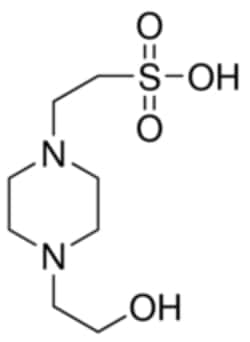
Sigma Aldrich Fine Chemicals Biosciences HEPES BioPerformance Certified, ≥99.5% (titration), suitable for cell culture | 7365-45-9 | MFCD00006158 | 1kg

Supplier:  Sigma Aldrich Fine Chemicals Biosciences H40341KG

Encompass

HEPES BioPerformance Certified, ≥99.5% (titration), suitable for cell culturePurity: | MW: 238.3 | 7365-45-9 | MFCD00006158 | 1kg

Catalog No. 50-184-2682


May include imposed supplier surcharges.
Only null left
Add to Cart

Product Title
Select an issue

By clicking Submit, you acknowledge that you may be contacted by Fisher Scientific in regards to the feedback you have provided in this form. We will not share your information for any other purposes. All contact information provided shall also be maintained in accordance with our Privacy Policy.