Learn More
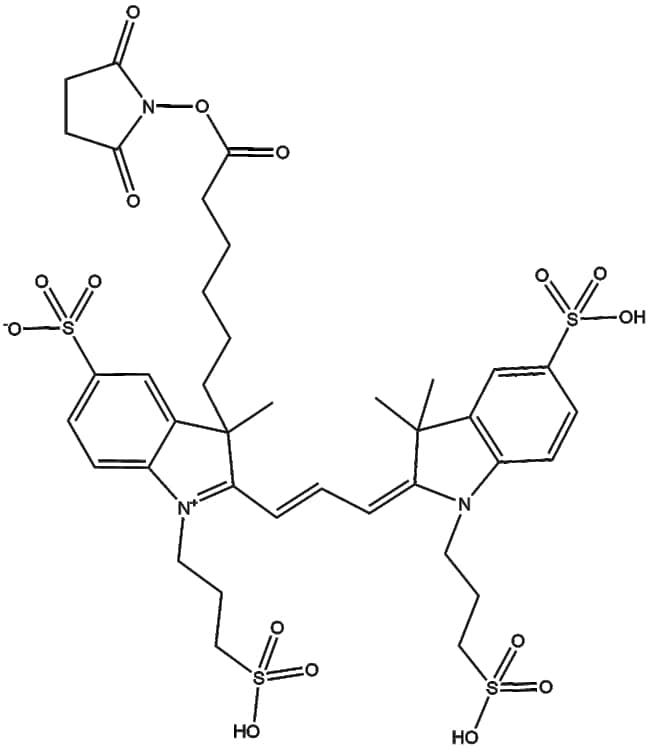
Apexbio Technology LLC HyperFluor™ 555 NHS Ester 1mg

Supplier: Apexbio Technology LLC A80991
HyperFluor 555 NHS Ester is a fluorescent labeling reagent targeting primary amines (R NH ) on biomolecules It is designed to facilitate covalent conjugation with proteins amine-modified oligonucleotides and other primary amine-containing biomolecules via its NHS ester moiety HyperFluor 555 NHS Ester exerts its activity through amine-specific covalent labeling Based on these properties HyperFluor 555 NHS Ester holds research potential in fluorescence microscopy and flow cytometry for labeling and detection of proteins and oligonucleotides
By clicking Submit, you acknowledge that you may be contacted by Fisher Scientific in regards to the feedback you have provided in this form. We will not share your information for any other purposes. All contact information provided shall also be maintained in accordance with our Privacy Policy.