Learn More
Apexbio Technology LLC Ibutilide Fumarate 122647-32-9 10mg

Supplier: Apexbio Technology LLC B227810

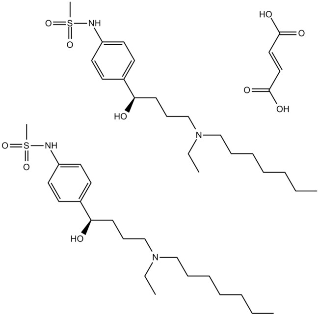
Ibutilide Fumarate (CAS 122647-32-9) is a small molecule classified as a Class III antiarrhythmic agent It acts primarily by enhancing slow inward sodium currents and delaying repolarization through inhibition of the rapid component of the cardiac delayed rectifier potassium current (IKr) resulting in prolongation of the cardiac action potential Ibutilide is utilized in research to investigate pharmacological cardioversion of atrial arrhythmias specifically studying the acute conversion of atrial fibrillation and atrial flutter to normal sinus rhythm Its properties make it valuable for exploring the mechanisms of antiarrhythmic therapy and cardiac electrophysiology
The Fisher Scientific Encompass Program offers items which are not part of our distribution portfolio. These products typically do not have pictures or detailed descriptions. However, we are committed to improving your shopping experience. Please use the form below to provide feedback related to the content on this product.