Learn More
Apexbio Technology LLC K-Ras(G12C) inhibitor 9 1469337-91-4 5mg

Supplier: Apexbio Technology LLC B60025
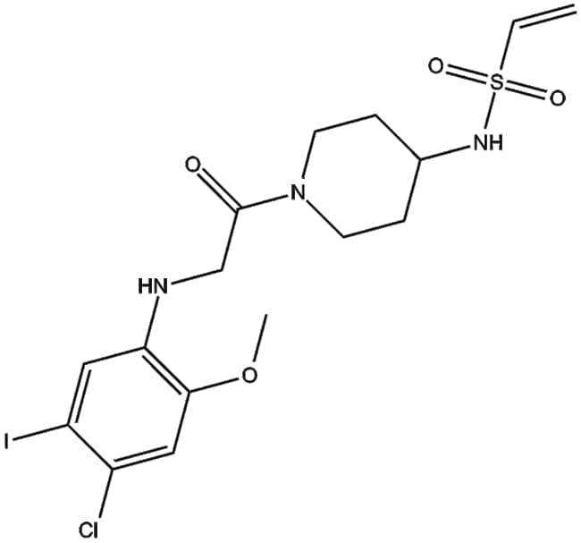
K-Ras(G12C) inhibitor 9 (CAS 1469337-91-4) is a covalent small molecule that selectively targets the oncogenic K-Ras(G12C) mutant protein Acting as an allosteric inhibitor it irreversibly binds to the mutant K-Ras interfering with the binding of GTP and GDP and disrupts interactions with effector proteins such as B-Raf and C-Raf In vitro studies show that treatment with 10 M K-Ras(G12C) inhibitor 9 reduces viability and increases apoptosis in K-Ras(G12C)-mutant lung cancer cell lines including H1792 Calu-1 H358 and H23 This compound is a valuable research tool for investigating K-Ras-driven cancer signaling and mutant-selective therapeutic strategies
By clicking Submit, you acknowledge that you may be contacted by Fisher Scientific in regards to the feedback you have provided in this form. We will not share your information for any other purposes. All contact information provided shall also be maintained in accordance with our Privacy Policy.