Learn More
Apexbio Technology LLC KB-R7943 mesylate 182004-65-5 50mg

Supplier: Apexbio Technology LLC A352550

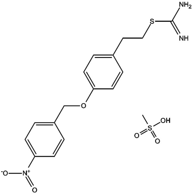
KB-R7943 mesylate (CAS 182004-65-5) is a selective inhibitor of the Na /Ca2 exchanger (NCX) particularly effective against its reverse mode It inhibits NCX-mediated Ca2 influx with an IC50 of 0 7 M In transfected Chinese hamster ovary (CHO) cells expressing NCX KB-R7943 suppresses exchanger activity at high intracellular Na concentrations In cultured rat forebrain neurons it attenuates Ca2 transients induced by glutamate NMDA kainate or KCl with IC50 values ranging from 2 9 to 8 2 M In in vivo studies KB-R7943 reduces endothelin-1 levels and mitigates acute renal dysfunction following ischemic injury This compound is widely utilized in studies investigating Na /Ca2 exchange and related calcium signaling pathways
The Fisher Scientific Encompass Program offers items which are not part of our distribution portfolio. These products typically do not have pictures or detailed descriptions. However, we are committed to improving your shopping experience. Please use the form below to provide feedback related to the content on this product.