Learn More
Apexbio Technology LLC KN-93 hydrochloride 1956426-56-4 5mg

Supplier: Apexbio Technology LLC B13065

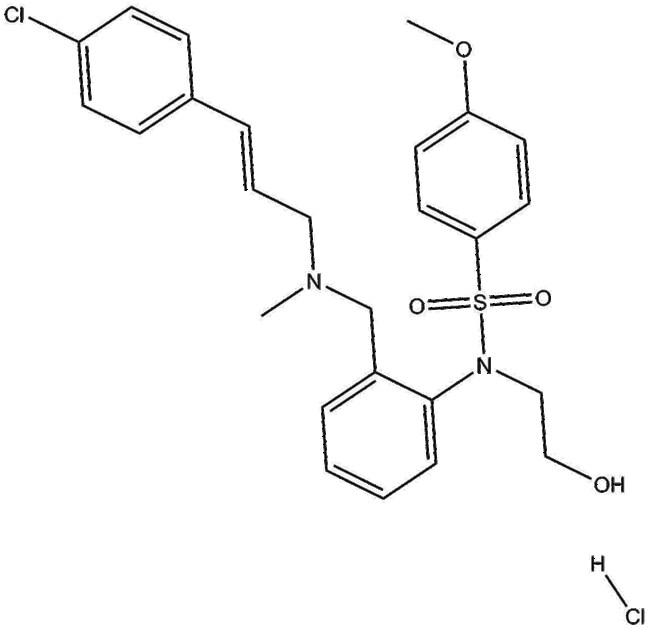
KN-93 hydrochloride (CAS 1956426-56-4) is a selective inhibitor of Ca2 /calmodulin-dependent protein kinase II (CaMK II) binding competitively at the calmodulin site with a reported Ki of 0 37 M and an IC50 of 370 nM In isolated gastric parietal cells KN-93 suppresses acid secretion stimulated by carbachol and histamine with IC50 values of 0 15 M and 0 3 M respectively and inhibits mucin-stimulated aminopyrine uptake (IC50 0 6 M) Additionally KN-93 shows inhibitory activity against H /K -ATPase and directly blocks voltage-gated potassium (Kv) channels by promoting C-type inactivation KN-93 is widely used to probe CaMK II signaling and its downstream physiological effects in cellular and electrophysiological studies
The Fisher Scientific Encompass Program offers items which are not part of our distribution portfolio. These products typically do not have pictures or detailed descriptions. However, we are committed to improving your shopping experience. Please use the form below to provide feedback related to the content on this product.