Learn More
Apexbio Technology LLC KN-93 Phosphate 1188890-41-6 10mg

Supplier: Apexbio Technology LLC B496910

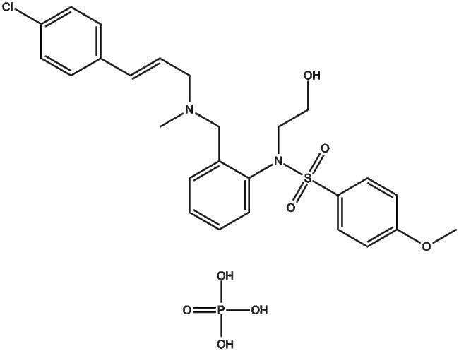
KN-93 Phosphate (CAS 1188890-41-6) is a small-molecule inhibitor targeting calcium/calmodulin-dependent protein kinase II (CaMKII) It is designed to selectively inhibit CaMKII thereby modulating cellular proliferation survival neurotransmitter regulation and related signal transduction pathways KN-93 Phosphate exerts its biological activity primarily by competitively binding to Ca2 /calmodulin disrupting their interaction with CaMKII and preventing CaMKII activation and autophosphorylation In cell-based studies KN-93 Phosphate demonstrates inhibitory activity with IC50 values of 9 M for CaMKII monomer and 3 M for CaMKII dodecamer Experimental models include hepatic stellate cells and NIH 3T3 fibroblasts Based on these pharmacological properties KN-93 Phosphate holds research potential in the study of cell cycle regulation apoptosis neurotransmitter synthesis and neurodegenerative disorders particularly Parkinson s disease models
The Fisher Scientific Encompass Program offers items which are not part of our distribution portfolio. These products typically do not have pictures or detailed descriptions. However, we are committed to improving your shopping experience. Please use the form below to provide feedback related to the content on this product.