Learn More
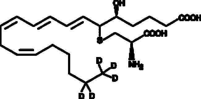
Cayman Chemical Leukotriene E4d5

Supplier: Cayman Chemical 1000785850 UG
An internal standard for the quantification of LTE4 by GC- or LC-MS
By clicking Submit, you acknowledge that you may be contacted by Fisher Scientific in regards to the feedback you have provided in this form. We will not share your information for any other purposes. All contact information provided shall also be maintained in accordance with our Privacy Policy.