Learn More
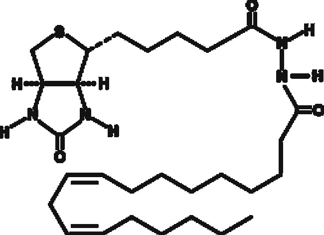
Cayman Chemical Linoleic Acidbiotin

Supplier: Cayman Chemical 10010623500 UG
An affinity probe designed to allow linoleic acid to be detected in complexes with protein-binding partners such as fatty acid binding proteins
By clicking Submit, you acknowledge that you may be contacted by Fisher Scientific in regards to the feedback you have provided in this form. We will not share your information for any other purposes. All contact information provided shall also be maintained in accordance with our Privacy Policy.