Learn More
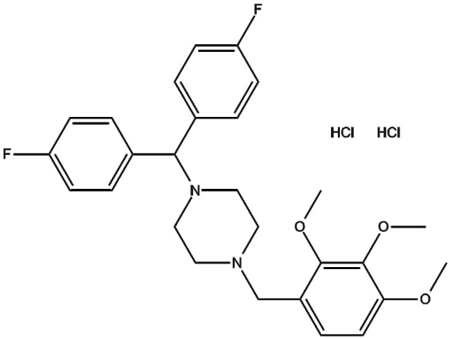
Apexbio Technology LLC Lomerizine HCl 101477-54-7 50mg

Supplier: Apexbio Technology LLC B178250

Lomerizine HCl (CAS 101477-54-7) is a small molecule antagonist of voltage-gated calcium channels exhibiting inhibitory activity on both L-type and T-type subtypes By modulating calcium influx across neuronal membranes lomerizine HCl is proposed to attenuate neuronal excitability associated with migraine pathophysiology This compound is utilized in biomedical research to investigate calcium channel function and the molecular mechanisms underlying migraine and related neurological disorders
The Fisher Scientific Encompass Program offers items which are not part of our distribution portfolio. These products typically do not have pictures or detailed descriptions. However, we are committed to improving your shopping experience. Please use the form below to provide feedback related to the content on this product.