Learn More
Apexbio Technology LLC Meclofenoxate hydrochloride 3685-84-5 50mg

Supplier: Apexbio Technology LLC B116050
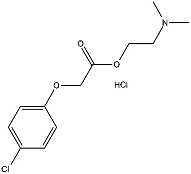
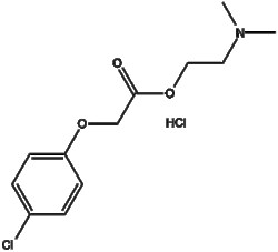
Meclofenoxate hydrochloride (CAS 3685-84-5) is a synthetic compound formed from dimethylethanolamine (DMAE) and 4-chlorophenoxyacetic acid (pCPA) It is understood to influence cholinergic neurotransmission likely by increasing acetylcholine levels in the central nervous system through metabolic conversion of DMAE Preclinical studies have demonstrated that meclofenoxate hydrochloride enhances memory retention and supports various aspects of cognitive function This molecule is widely utilized in neurological and cognitive research to explore mechanisms underlying neuroprotection memory enhancement and age-related cognitive decline
By clicking Submit, you acknowledge that you may be contacted by Fisher Scientific in regards to the feedback you have provided in this form. We will not share your information for any other purposes. All contact information provided shall also be maintained in accordance with our Privacy Policy.