Learn More
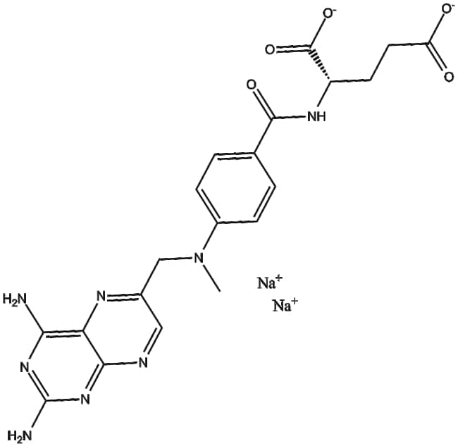
Apexbio Technology LLC Methotrexate disodium 7413-34-5 100mg

Supplier: Apexbio Technology LLC C6503100
Methotrexate disodium (CAS 7413-34-5) is a small-molecule inhibitor targeting dihydrofolate reductase (DHFR) It is designed to inhibit DHFR activity thereby disrupting the enzymatic reduction of dihydrofolate to tetrahydrofolate and impairing DNA and RNA biosynthesis Methotrexate disodium exerts its biological activity primarily through DHFR inhibition In in vitro studies methotrexate disodium demonstrates inhibitory activity with an IC50 value in the nanomolar range (approximately 5 to 50 nM depending on assay conditions and cell models) Based on these pharmacological properties methotrexate disodium holds research potential in autoimmune disorders such as rheumatoid arthritis and psoriasis as well as in antineoplastic studies involving acute lymphoblastic leukemia
By clicking Submit, you acknowledge that you may be contacted by Fisher Scientific in regards to the feedback you have provided in this form. We will not share your information for any other purposes. All contact information provided shall also be maintained in accordance with our Privacy Policy.