Learn More
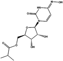
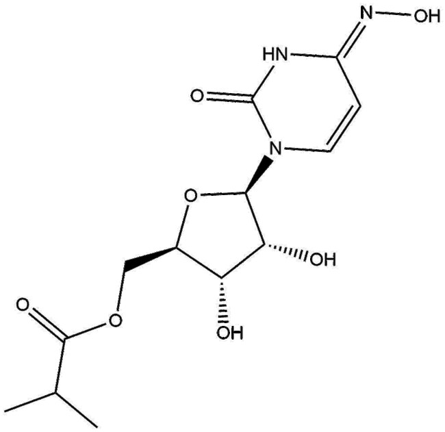
Apexbio Technology LLC Molnupiravir(Synonyms: EIDD-2801, MK-4482, Lagevrio, Molnupex, EIDD-1931-isopropyl ester, EIDD-2801 prodrug), 200mg, CAS: 2349386-89-4.

Supplier: Apexbio Technology LLC B8578200
Molnupiravir (CAS 2349386-89-4) is an orally bioavailable nucleoside analog prodrug metabolized intracellularly into an active nucleoside triphosphate derivative Its antiviral effect occurs once incorporated by viral RNA-dependent RNA polymerase into newly synthesized viral RNA inducing an accumulation of mutations that disrupt viral genome fidelity and replication In research applications Molnupiravir is extensively employed for in vitro and in vivo studies investigating antiviral activities replication mechanisms and pharmacological responses especially against RNA viruses such as SARS-CoV-2 influenza virus and other coronaviruses
By clicking Submit, you acknowledge that you may be contacted by Fisher Scientific in regards to the feedback you have provided in this form. We will not share your information for any other purposes. All contact information provided shall also be maintained in accordance with our Privacy Policy.