Promotional price valid on web orders only. Your contract pricing may differ. Interested in signing up for a dedicated account number?
Learn More

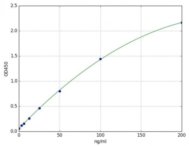
Abcam Mouse Hepcidin ELISA Kit, 96TEST

Supplier:  Abcam AB28528096TEST

Encompass_Preferred

Mouse Hepcidin ELISA Kit is a Sandwich (quantitative) ELISA kit for the measurement of Mouse Hepcidin in Mouse in Plasma, Tissue Homogenate, Serum, Other biological fluids samples.

The product is subject to the following: Abcam Restricted Use Statement

Catalog No. 50-220-5467


May include imposed supplier surcharges.
Only null left
Add to Cart

Product Title
Select an issue

By clicking Submit, you acknowledge that you may be contacted by Fisher Scientific in regards to the feedback you have provided in this form. We will not share your information for any other purposes. All contact information provided shall also be maintained in accordance with our Privacy Policy.