Learn More
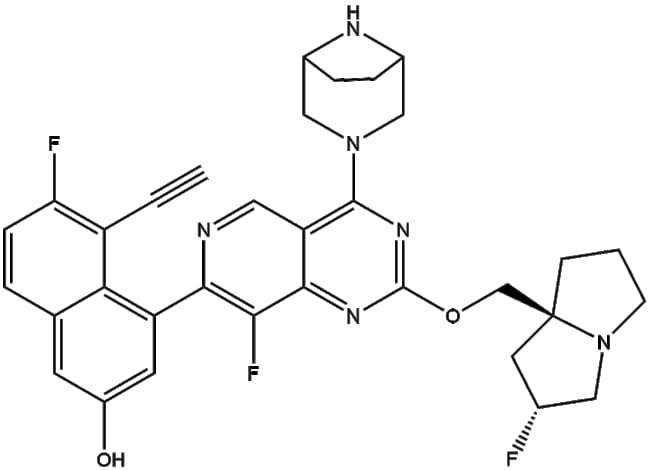
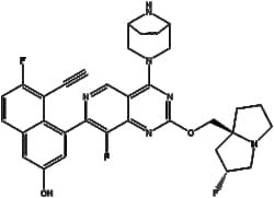
Apexbio Technology LLC MRTX-1133(Synonyms: MRTX1133, MRTX 1133, Mirati-1133, KRAS G12D inhibitor MRTX1133), 5mg, CAS: 2621928-55-8.

Supplier: Apexbio Technology LLC B87615
MRTX-1133 (CAS 2621928-55-8) is a non-covalent alkyne-based inhibitor specifically targeting the KRAS G12D mutant protein It binds KRAS G12D with sub-picomolar affinity occupying the Switch II pocket and forming multiple intermolecular interactions Through these interactions MRTX-1133 disrupts SOS1-mediated guanine nucleotide exchange and prevents the assembly of KRAS-GTP/RAF1 signaling complexes thereby inhibiting downstream KRAS-driven signaling pathways MRTX-1133 is applied in cancer biology research to investigate tumor signaling and therapeutic strategies involving KRAS G12D mutations
By clicking Submit, you acknowledge that you may be contacted by Fisher Scientific in regards to the feedback you have provided in this form. We will not share your information for any other purposes. All contact information provided shall also be maintained in accordance with our Privacy Policy.