Learn More
Apexbio Technology LLC Mycophenolate mofetil hydrochloride 116680-01-4 200mg

Supplier: Apexbio Technology LLC B1101200
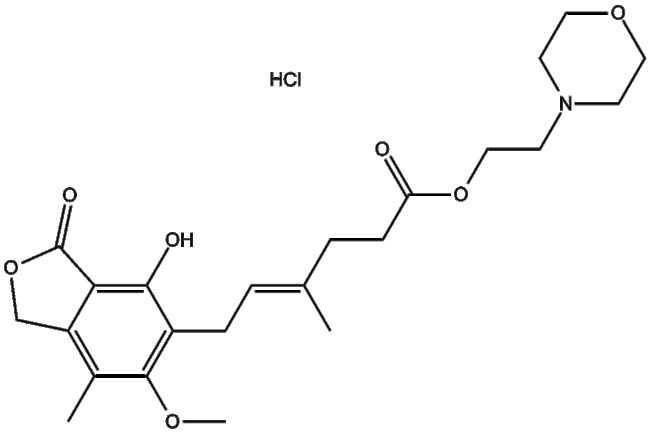
Mycophenolate mofetil hydrochloride (CAS 116680-01-4) is a small-molecule inhibitor targeting inosine monophosphate dehydrogenase (IMPDH) types I and II It is designed to selectively and reversibly inhibit IMPDH thereby modulating the de novo biosynthesis pathway of purine nucleotides Mycophenolate mofetil hydrochloride exerts its biological activity primarily through inhibition of IMPDH It demonstrates inhibitory activity with IC50 values of 39 nM for IMPDH type I and 27 nM for IMPDH type II Based on these pharmacological properties mycophenolate mofetil hydrochloride holds research potential in the study of immune processes organ transplant rejection mechanisms and autoimmune disease models
By clicking Submit, you acknowledge that you may be contacted by Fisher Scientific in regards to the feedback you have provided in this form. We will not share your information for any other purposes. All contact information provided shall also be maintained in accordance with our Privacy Policy.