Learn More
AdipoGen ODN 1826 (Type B) Endotoxin-free (sterile), 1 mg

Supplier: AdipoGen IAX200002M001

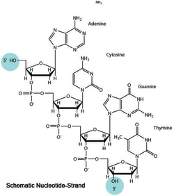
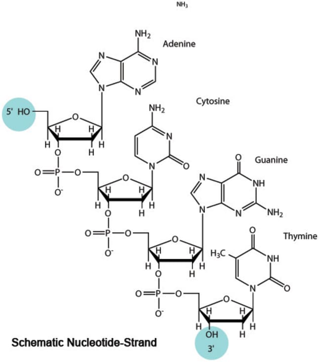
MW: 6,383g/mol, Synonyms: CpG ODN TLR9 Agonist: B Type (species: rodent). Unmethylated CG dinucleotides within particular sequence contexts are responsible for the immunostimulatory activity of bacterial DNA. Synthetic oligonucleotides (ODN) that contain such CpG motifs (CpG ODNs) mimic microbial DNA. The innate immune system of vertebrates has the ability to recognize CpG motifs in microbial DNA via the Toll-like receptor (TLR) 9 if the CpG ODN were free of additional immune stimulatory contaminants often present in synthetic commercial CpG ODN preparations designed for molecular biology applications (i.e. PCR). Given that high quality CpG ODNs were used, a close link has been established between the expression of TLR9 on certain immune cell subsets and the modulation of the immune system by CpG DNA.
The Fisher Scientific Encompass Program offers items which are not part of our distribution portfolio. These products typically do not have pictures or detailed descriptions. However, we are committed to improving your shopping experience. Please use the form below to provide feedback related to the content on this product.