Learn More
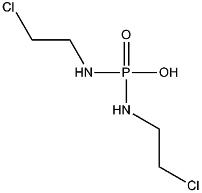
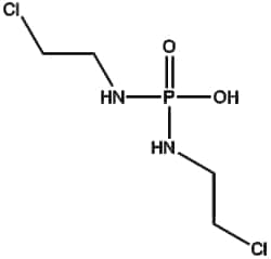
Apexbio Technology LLC Palifosfamide 31645-39-3 200mg

Supplier: Apexbio Technology LLC A3696200
Palifosfamide (CAS 31645-39-3) is the active metabolite derivative of ifosfamide (IFA) an alkylating agent exhibiting cytotoxic effects through cross-linking DNA strands thereby interfering with replication and transcription Palifosfamide lysine demonstrates anticancer activity against pediatric sarcoma cell lines including osteosarcoma models such as SAOS-2 (IC50 2 25 6 75 M) and decreased sensitivity in OS222 (IC50 31 5 M) In murine xenograft experiments (MX-1 tumors) palifosfamide treatment at 100 mg/kg showed substantial tumor growth inhibition ( 80%) and partial complete response rates ( 17%) highlighting its applicability in preclinical oncology research
By clicking Submit, you acknowledge that you may be contacted by Fisher Scientific in regards to the feedback you have provided in this form. We will not share your information for any other purposes. All contact information provided shall also be maintained in accordance with our Privacy Policy.