Learn More
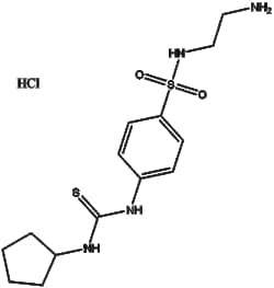
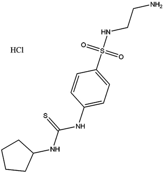
Apexbio Technology LLC PKUMDL-LC-101-D04 2143896-83-5 10mg

Supplier: Apexbio Technology LLC BA344210

PKUMDL-LC-101-D04 (CAS 2143896-83-5) is a small molecule allosteric activator of glutathione peroxidase 4 (GPX4) a key enzyme regulating ferroptosis In biochemical and cell extract assays PKUMDL-LC-101-D04 enhances GPX4 activity to 150% of baseline at concentrations of 20 M and 61 M respectively This compound serves as a valuable tool for investigating the modulation of ferroptosis through GPX4 activation and supports research into oxidative stress and cell death mechanisms
The Fisher Scientific Encompass Program offers items which are not part of our distribution portfolio. These products typically do not have pictures or detailed descriptions. However, we are committed to improving your shopping experience. Please use the form below to provide feedback related to the content on this product.