Learn More
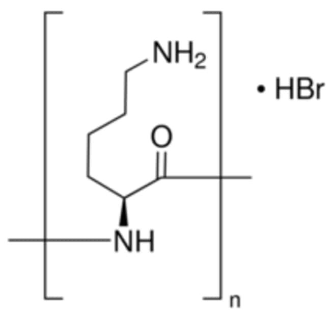
Sigma Aldrich Fine Chemicals Biosciences Poly-L-lysine hydrobromide mol wt 70,000-150,000 by viscosity | 25988-63-0 | MFCD00237230 | 500mg
Supplier: Sigma Aldrich Fine Chemicals Biosciences P1274500MG

Poly-L-lysine hydrobromide mol wt 70,000-150,000 by viscosity | 627.257 | 25988-63-0 | MFCD00237230 | 500mg
Description

The Fisher Scientific Encompass Program offers items which are not part of our distribution portfolio. These products typically do not have pictures or detailed descriptions. However, we are committed to improving your shopping experience. Please use the form below to provide feedback related to the content on this product.