Promotional price valid on web orders only. Your contract pricing may differ. Interested in signing up for a dedicated account number?
Learn More

R&D Systems™ Recombinant SARS-CoV-2 V367F E484K Spike RBD His Protein

Catalog No. 10825CV100
Change view
Click to view available options
Quantity:
100 μg
1 product options available for selection
Product selection table with 1 available options. Use arrow keys to navigate and Enter or Space to select.
Catalog No. Quantity
10825CV100 100 μg
Use arrow keys to navigate between rows. Press Enter or Space to select a product option. 1 options available.
1 options
This item is not returnable. View return policy
Catalog No. 10825CV100 Supplier R&D Systems™ Supplier No. 10825CV100
Only null left
Add to Cart
Add to Cart
This item is not returnable. View return policy

A.23.1 Variant

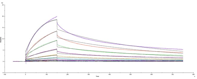
Measured by its binding ability in a functional ELISA with Recombinant Human ACE-2 His-tag (Catalog # 933-ZN ).

Specifications

Accession Number YP_009724390.1
For Use With (Application) Bioactivity
Formulation Lyophilized from a 0.2 μm filtered solution in PBS with Trehalose.
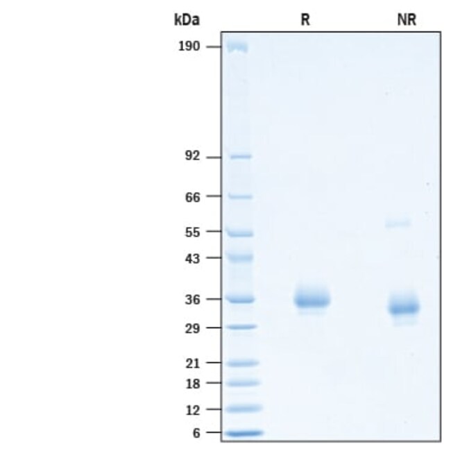
Molecular Weight (g/mol) M.W.-observed: 30-37 kDa, under reducing conditions., M.W.-theroretical: 26 kDa
Quantity 100 μg
Source Human embryonic kidney cell, HEK293-derived sars-cov-2 Spike RBD protein Arg319-Phe541 (Val367Phe, Glu484Lys), with a C-terminal 6-His tag
Storage Requirements Use a manual defrost freezer and avoid repeated freeze-thaw cycles. 12 months from date of receipt, -20°C to -70°C as supplied. 1 month, 2°C to 8°C under sterile conditions after reconstitution. 3 months, -20°C to -70°C under sterile conditions after reconstitution.
Endotoxin Concentration <0.10 EU / 1 μg of the protein by the LAL method.
Conjugate Unconjugated
Reconstitution Reconstitute at 500 μg/mL in PBS.
Purity or Quality Grade >95%, by SDS-PAGE visualized with Silver Staining and quantitative densitometry by Coomassie™ Blue Staining.
Protein Spike RBD
Show More Show Less
Product Title
Select an issue

By clicking Submit, you acknowledge that you may be contacted by Fisher Scientific in regards to the feedback you have provided in this form. We will not share your information for any other purposes. All contact information provided shall also be maintained in accordance with our Privacy Policy.