Learn More
Apexbio Technology LLC Ridaforolimus (Deforolimus, MK-8669) 572924-54-0 200mg

Supplier: Apexbio Technology LLC B1639200
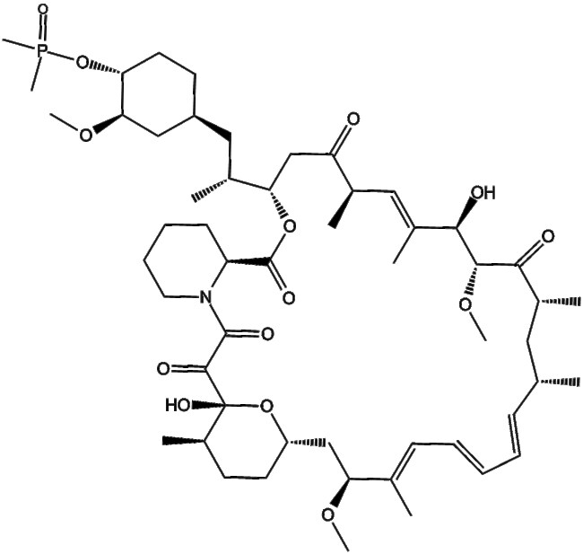
Ridaforolimus (Deforolimus MK-8669) (CAS 572924-54-0) is a small-molecule inhibitor targeting the mammalian target of rapamycin (mTOR) It is designed to inhibit mTOR activity thereby modulating mTOR-mediated signal transduction pathways Ridaforolimus exerts its biological activity primarily through inhibition of phosphorylation of downstream effectors such as S6 and 4E-BP1 In cell-based studies ridaforolimus demonstrates inhibitory activity with an IC50 value of approximately 0 2 nM in HT-1080 cells Based on these pharmacological properties ridaforolimus holds research potential in oncology therapeutics development
By clicking Submit, you acknowledge that you may be contacted by Fisher Scientific in regards to the feedback you have provided in this form. We will not share your information for any other purposes. All contact information provided shall also be maintained in accordance with our Privacy Policy.