Promotional price valid on web orders only. Your contract pricing may differ. Interested in signing up for a dedicated account number?
Learn More
Learn More
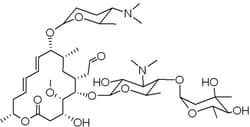
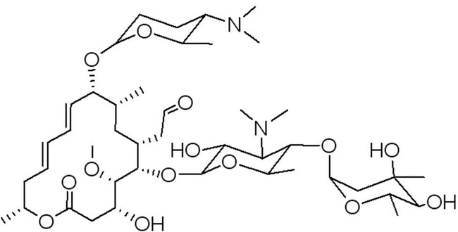
Spiramycin, G-Biosciences

Click to view available options
Quantity:
5 g
Description
Spiramycin is a mixture of spiramycin I, II, and III and has been used to study sepsis in mice.
Specifications
Specifications
Type | α-Carboxybenzyl Penicillin Disodium Salt |
Physical Form | Powder |
Sterility | Non-sterile |
Color | White |
Quantity | 5 g |
Percent Purity | >95% |
Grade | Molecular Biology |
Product Content Correction
Your input is important to us. Please complete this form to provide feedback related to the content on this product.
Product Title
Spot an opportunity for improvement?Share a Content Correction