Learn More
Apexbio Technology LLC SR 95531 hydrobromide 104104-50-9 50mg

Supplier: Apexbio Technology LLC B666350
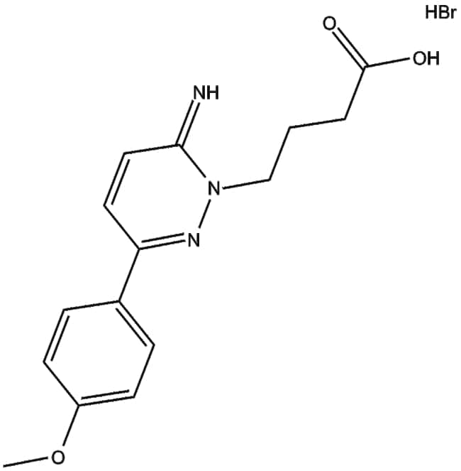
SR 95531 hydrobromide (CAS 104104-50-9) also known as Gabazine is a selective competitive antagonist of the GABAA receptor By binding to the GABA recognition site on the receptor it blocks the activation induced by -aminobutyric acid (GABA) Experimental studies report an inhibitory concentration (IC50) of approximately 0 2 M for GABAA receptor-mediated responses Widely utilized in neuroscience research Gabazine is applied to investigate the physiological and pathological roles of GABAA receptor-mediated synaptic transmission neural network modulation and neurotransmitter regulation
By clicking Submit, you acknowledge that you may be contacted by Fisher Scientific in regards to the feedback you have provided in this form. We will not share your information for any other purposes. All contact information provided shall also be maintained in accordance with our Privacy Policy.