Promotional price valid on web orders only. Your contract pricing may differ. Interested in signing up for a dedicated account number?
Learn More

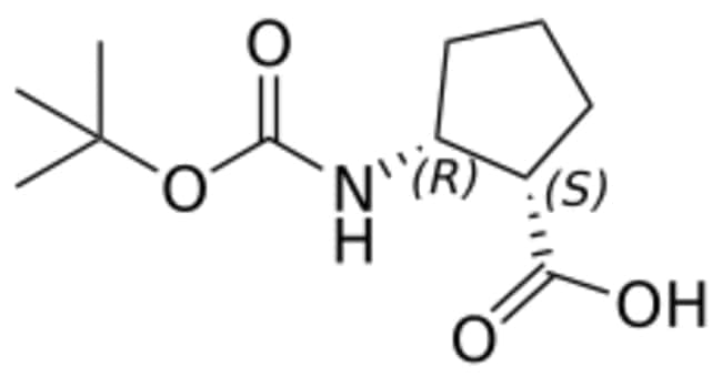
STA PHARMACEUTICAL US LLC (1S,2R)-2-(Boc-amino)cyclopentanecarboxylic Acid | 100 g | CAS 137170-89-9 | InChIKey BUEPEVBYNBQNED-JGVFFNPUSA-N

Supplier:  STA PHARMACEUTICAL US LLC STAAA12277100GM

Encompass

(1S,2R)-2-(Boc-amino)cyclopentanecarboxylic Acid is a Amino Acid reagent (Subcategory: Alkane AA) sold by WuXi TIDES. Offered in 100 g. Store at 4 °C. SDS available for reference.

Specifications
- CAS: 137170-89-9
- MDL: No data
- InChIKey: BUEPEVBYNBQNED-JGVFFNPUSA-N
- Molecular Weight: 229.276
- Molecular Formula: C11H19NO4
- Purity: ≥95%
- Container Type: 500 mL HDPE
- Pack Size: 100 g
- Net Weight: 100 g
- Gross Weight: 160.5 g
- Commodity Code: 29242970
- Country Of Origin: China
- IUPAC: (1S,2R)-2-((tert-butoxycarbonyl)amino)cyclopentane-1-carboxylic acid
- SMILES: CC(C)(OC(N[C@@H]1CCC[C@@H]1C(O)=O)=O)C

Catalog No. 50-282-2581


May include imposed supplier surcharges.
Only null left
Add to Cart

Product Title
Select an issue

By clicking Submit, you acknowledge that you may be contacted by Fisher Scientific in regards to the feedback you have provided in this form. We will not share your information for any other purposes. All contact information provided shall also be maintained in accordance with our Privacy Policy.