Learn More
STA PHARMACEUTICAL US LLC STA-AA12609
Supplier: STA PHARMACEUTICAL US LLC STAAA1260950GM

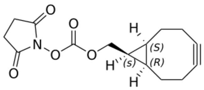
WuXi TIDES BCN-OSu - 1426827-79-3, 50GR - ((1R,8S,9s)-bicyclo[6.1.0]non-4-yn-9-yl)methyl (2,5-dioxopyrrolidin-1-yl) carbonate - [H][C@@]12CCC#CCC[C@@]1([C@@H]2COC(ON3C(CCC3=O)=O)=O)[H] - M.F. C15H17NO5, M.W. 291.303
The Fisher Scientific Encompass Program offers items which are not part of our distribution portfolio. These products typically do not have pictures or detailed descriptions. However, we are committed to improving your shopping experience. Please use the form below to provide feedback related to the content on this product.