Promotional price valid on web orders only. Your contract pricing may differ. Interested in signing up for a dedicated account number?
Learn More

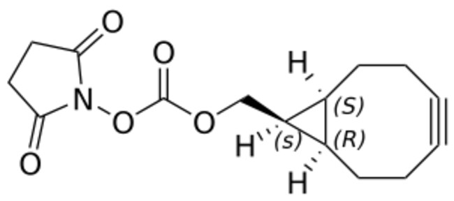
STA PHARMACEUTICAL US LLC BCN-Osu | 100 g | CAS 1426827-79-3 | MDL MFCD19705416

Supplier:  STA PHARMACEUTICAL US LLC STAAA12609100GM

Encompass

BCN-Osu is a Amino Acid reagent (Subcategory: Unusual AA) sold by WuXi TIDES. Offered in 100 g. Store at 4 °C. SDS available for reference.

Specifications
- CAS: 1426827-79-3
- MDL: MFCD19705416
- InChIKey: SKTDJYHCSCYLQU-ZSBIGDGJSA-N
- Molecular Weight: 291.303
- Molecular Formula: C15H17NO5
- Purity: ≥95%
- Container Type: 500 mL HDPE
- Pack Size: 100 g
- Net Weight: 100 g
- Gross Weight: 160.5 g
- Commodity Code: 29280090
- Country Of Origin: China
- IUPAC: ((1R,8S,9s)-bicyclo[6.1.0]non-4-yn-9-yl)methyl (2,5-dioxopyrrolidin-1-yl) carbonate
- SMILES: [H][C@@]12CCC#CCC[C@@]1([C@@H]2COC(ON3C(CCC3=O)=O)=O)[H]

Catalog No. 50-282-0955


May include imposed supplier surcharges.
Only null left
Add to Cart
Request a Quote

Product Title
Select an issue

By clicking Submit, you acknowledge that you may be contacted by Fisher Scientific in regards to the feedback you have provided in this form. We will not share your information for any other purposes. All contact information provided shall also be maintained in accordance with our Privacy Policy.