Promotional price valid on web orders only. Your contract pricing may differ. Interested in signing up for a dedicated account number?
Learn More

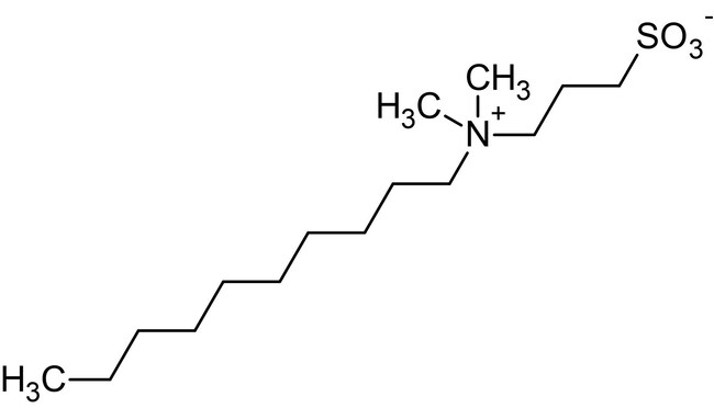
Abcam Sulfobetaine 10, Zwitterionic detergent, 1G

Supplier:  Abcam AB1463631G

Encompass_Preferred

MW 307.48 g/mol, Purity >98%. Detergent used in the solubilization of oleosins. Synthetic zwitterionic detergent, which unlike other amphoteric surfactants, retains its zwitterionic character over a broad pH range. This property is attributed to the presence of a strongly basic quaternary ammonium ion and an acidic sulfonate ion of equal strength. This ionic balance presumably prevents irreversible binding to either anionic or cationic compounds.

The product is subject to the following: Abcam Restricted Use Statement

Catalog No. 50-270-4684


May include imposed supplier surcharges.
Only null left
Add to Cart

Product Title
Select an issue

By clicking Submit, you acknowledge that you may be contacted by Fisher Scientific in regards to the feedback you have provided in this form. We will not share your information for any other purposes. All contact information provided shall also be maintained in accordance with our Privacy Policy.