Learn More
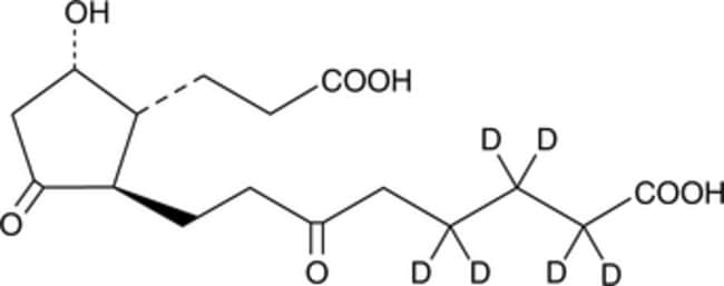
Cayman Chemical tetranorPGDMd6 GC MS Standards

Supplier: Cayman Chemical 1000903925 UG
An internal standard for the quantification of tetranor-PGDM by GC- or LC-MS
By clicking Submit, you acknowledge that you may be contacted by Fisher Scientific in regards to the feedback you have provided in this form. We will not share your information for any other purposes. All contact information provided shall also be maintained in accordance with our Privacy Policy.