Learn More
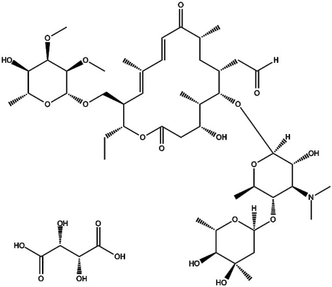
Apexbio Technology LLC Tylosin tartrate 74610-55-2 1g

Supplier: Apexbio Technology LLC B20591000
Tylosin tartrate (CAS 74610-55-2) is a small-molecule inhibitor targeting the bacterial 50S ribosomal subunit It is designed to inhibit bacterial protein synthesis thereby disrupting peptide elongation during translation Tylosin tartrate exerts its biological activity primarily through reversible binding to the 50S ribosomal subunit In microbiological assays tylosin tartrate demonstrates antibacterial activity with IC50 values typically ranging from 0 01 to 0 1 g/mL against mycoplasma strains depending on strain sensitivity Based on these pharmacological properties tylosin tartrate holds research potential in the investigation of antimicrobial mechanisms resistance profiles and bacterial physiology associated with poultry and livestock infections
By clicking Submit, you acknowledge that you may be contacted by Fisher Scientific in regards to the feedback you have provided in this form. We will not share your information for any other purposes. All contact information provided shall also be maintained in accordance with our Privacy Policy.