Learn More
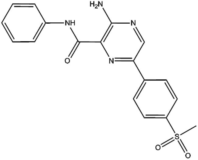
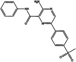
Apexbio Technology LLC VE-821 1232410-49-9 100mg

Supplier: Apexbio Technology LLC A2521100
VE-821 (CAS 1232410-49-9) is a selective ATP-competitive inhibitor of ATR (ataxia telangiectasia and Rad3-related) kinase a critical regulator involved in DNA damage response signaling VE-821 exhibits potent ATR inhibition with a Ki value of 13 nM and minimal off-target activity toward other PI3K-related kinases such as ATM DNA-PK mTOR and PI3K In cellular models VE-821 effectively reduces phosphorylation of ATR substrates including Chk1 at Ser345 thereby sensitizing HL-60 leukemia and pancreatic cancer cell lines (e g PSN-1 MiaPaCa-2) to chemotherapy (gemcitabine) and radiation-induced cytotoxicity VE-821 is utilized as a research tool in the study of DNA damage responses and cancer vulnerabilities
By clicking Submit, you acknowledge that you may be contacted by Fisher Scientific in regards to the feedback you have provided in this form. We will not share your information for any other purposes. All contact information provided shall also be maintained in accordance with our Privacy Policy.