Choose the brand aligned with your industry so we can best serve your needs.
For researchers, scientists, and technical professionals: Your one-stop shop for the complete range of laboratory, production, and safety products and services.
Organic compounds that contain an aromatic ring with one or more hydrogen atoms replaced by a halogen atom; also known as haloarene or halogenoarene. Halogen atoms include bromine, chlorine, fluorine, iodine.
Small and Specialty Supplier Partner Small and/or specialty supplier based on Federal laws and SBA requirements. Learn More
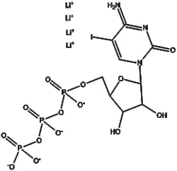
5-Iodo-CTP is a nucleotide analog derived from cytidine triphosphate (CTP) Due to its triphosphate structure it serves as a substrate for RNA polymerases and becomes incorporated into nascent RNA strands during transcription Incorporation of the iodine atom into RNA molecules facilitates their subsequent detection and analysis Thus 5-Iodo-CTP finds utility in studying RNA structure-function relationships analyzing RNA synthesis and stability and characterizing RNA-protein interactions Additionally the iodine substituent integrated within RNA offers a convenient handle for cross-linking or probing RNA-associated molecular events
Encompass Procurement Services Non-distribution item offered as a customer accommodation; additional freight charges may apply. Learn More
Small and Specialty Supplier Partner Small and/or specialty supplier based on Federal laws and SBA requirements. Learn More
5-Iodo-CTP is a nucleotide analog derived from cytidine triphosphate (CTP) Due to its triphosphate structure it serves as a substrate for RNA polymerases and becomes incorporated into nascent RNA strands during transcription Incorporation of the iodine atom into RNA molecules facilitates their subsequent detection and analysis Thus 5-Iodo-CTP finds utility in studying RNA structure-function relationships analyzing RNA synthesis and stability and characterizing RNA-protein interactions Additionally the iodine substituent integrated within RNA offers a convenient handle for cross-linking or probing RNA-associated molecular events
Encompass Procurement Services Non-distribution item offered as a customer accommodation; additional freight charges may apply. Learn More
Small and Specialty Supplier Partner Small and/or specialty supplier based on Federal laws and SBA requirements. Learn More
5-Iodo-CTP is a nucleotide analog derived from cytidine triphosphate (CTP) Due to its triphosphate structure it serves as a substrate for RNA polymerases and becomes incorporated into nascent RNA strands during transcription Incorporation of the iodine atom into RNA molecules facilitates their subsequent detection and analysis Thus 5-Iodo-CTP finds utility in studying RNA structure-function relationships analyzing RNA synthesis and stability and characterizing RNA-protein interactions Additionally the iodine substituent integrated within RNA offers a convenient handle for cross-linking or probing RNA-associated molecular events
Encompass Procurement Services Non-distribution item offered as a customer accommodation; additional freight charges may apply. Learn More
Small and Specialty Supplier Partner Small and/or specialty supplier based on Federal laws and SBA requirements. Learn More
5-Iodo-UTP is an iodinated derivative of uridine triphosphate (UTP) serving as a substrate in RNA synthesis and modification reactions In vitro RNA polymerases incorporate 5-Iodo-UTP into RNA transcripts enabling the production of labeled RNA probes for hybridization assays nucleic acid localization studies and analyses of RNA-protein interactions It also facilitates the investigation of RNA polymerase substrate specificity and the functional mapping of RNA molecules
Encompass Procurement Services Non-distribution item offered as a customer accommodation; additional freight charges may apply. Learn More
Small and Specialty Supplier Partner Small and/or specialty supplier based on Federal laws and SBA requirements. Learn More
5-Iodo-UTP is an iodinated derivative of uridine triphosphate (UTP) serving as a substrate in RNA synthesis and modification reactions In vitro RNA polymerases incorporate 5-Iodo-UTP into RNA transcripts enabling the production of labeled RNA probes for hybridization assays nucleic acid localization studies and analyses of RNA-protein interactions It also facilitates the investigation of RNA polymerase substrate specificity and the functional mapping of RNA molecules
Encompass Procurement Services Non-distribution item offered as a customer accommodation; additional freight charges may apply. Learn More
Small and Specialty Supplier Partner Small and/or specialty supplier based on Federal laws and SBA requirements. Learn More
5-Iodo-UTP is an iodinated derivative of uridine triphosphate (UTP) serving as a substrate in RNA synthesis and modification reactions In vitro RNA polymerases incorporate 5-Iodo-UTP into RNA transcripts enabling the production of labeled RNA probes for hybridization assays nucleic acid localization studies and analyses of RNA-protein interactions It also facilitates the investigation of RNA polymerase substrate specificity and the functional mapping of RNA molecules
Encompass Procurement Services Non-distribution item offered as a customer accommodation; additional freight charges may apply. Learn More