Choose the brand aligned with your industry so we can best serve your needs.
For researchers, scientists, and technical professionals: Your one-stop shop for the complete range of laboratory, production, and safety products and services.
Polycyclic aromatic hydrocarbon compounds that consist of ten carbon atoms and eight hydrogen atoms fused into two benzene rings; it is the simplest polycyclic aromatic hydrocarbon.
Filtered Search Results
Products from some of our suppliers do not display in filtered search results. Please
clear all filters
to see these products.
Small and Specialty Supplier Partner Small and/or specialty supplier based on Federal laws and SBA requirements. Learn More
Cevimeline hydrochloride is a quinuclidine derivative of acetylcholine and a selective and orally active muscarinic M1 and M3 receptor agonist. It stimulates secretion by the salivary glands and can be used as a sialogogue for xerostomia. It can also cross the blood-brain barrier.
Quinuclidine derivative of acetylcholine
Selective and orally active muscarinic M1 and M3 receptor agonist
Stimulates secretion by salivary glands
Used as a sialogogue for xerostomia
Can cross the blood-brain barrier
For research use only
Molecular weight: 235.77
Appearance: white to off-white solid
Soluble in H2O at concentrations ≥ 50 mg/mL
Encompass Procurement Services Non-distribution item offered as a customer accommodation; additional freight charges may apply. Learn More
Small and Specialty Supplier Partner Small and/or specialty supplier based on Federal laws and SBA requirements. Learn More
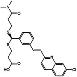
MK-571 (CAS 115104-28-4) also known as L-660711 is a selective antagonist of the leukotriene D4 (LTD4) receptor a G protein-coupled receptor activated by cysteinyl leukotrienes involved in inflammatory responses MK-571 demonstrates high affinity for the LTD4 receptor with reported Ki values of 0 22 nM in guinea pig lung and 2 1 nM in human lung membranes It effectively antagonizes LTD4- and LTE4-induced contractions in guinea pig and human airway tissues as indicated by pA2 values ranging from 8 5 to 10 5 In vivo MK-571 reduces airway hyperresponsiveness and leukocyte infiltration in animal models of pulmonary inflammation Additionally MK-571 acts as a specific inhibitor of multidrug resistance protein 1 (MRP1) supporting its use in studies of leukotriene signaling and drug transport mechanisms
Encompass Procurement Services Non-distribution item offered as a customer accommodation; additional freight charges may apply. Learn More
Small and Specialty Supplier Partner Small and/or specialty supplier based on Federal laws and SBA requirements. Learn More
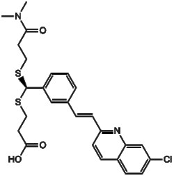
MK-571 (CAS 115104-28-4) also known as L-660711 is a selective antagonist of the leukotriene D4 (LTD4) receptor a G protein-coupled receptor activated by cysteinyl leukotrienes involved in inflammatory responses MK-571 demonstrates high affinity for the LTD4 receptor with reported Ki values of 0 22 nM in guinea pig lung and 2 1 nM in human lung membranes It effectively antagonizes LTD4- and LTE4-induced contractions in guinea pig and human airway tissues as indicated by pA2 values ranging from 8 5 to 10 5 In vivo MK-571 reduces airway hyperresponsiveness and leukocyte infiltration in animal models of pulmonary inflammation Additionally MK-571 acts as a specific inhibitor of multidrug resistance protein 1 (MRP1) supporting its use in studies of leukotriene signaling and drug transport mechanisms
Encompass Procurement Services Non-distribution item offered as a customer accommodation; additional freight charges may apply. Learn More
Small and Specialty Supplier Partner Small and/or specialty supplier based on Federal laws and SBA requirements. Learn More
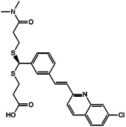
MK-571 (CAS 115104-28-4) also known as L-660711 is a selective antagonist of the leukotriene D4 (LTD4) receptor a G protein-coupled receptor activated by cysteinyl leukotrienes involved in inflammatory responses MK-571 demonstrates high affinity for the LTD4 receptor with reported Ki values of 0 22 nM in guinea pig lung and 2 1 nM in human lung membranes It effectively antagonizes LTD4- and LTE4-induced contractions in guinea pig and human airway tissues as indicated by pA2 values ranging from 8 5 to 10 5 In vivo MK-571 reduces airway hyperresponsiveness and leukocyte infiltration in animal models of pulmonary inflammation Additionally MK-571 acts as a specific inhibitor of multidrug resistance protein 1 (MRP1) supporting its use in studies of leukotriene signaling and drug transport mechanisms
Encompass Procurement Services Non-distribution item offered as a customer accommodation; additional freight charges may apply. Learn More