Learn More
Apexbio Technology LLC Kanamycin Sulfate 25389-94-0 50g

Supplier: Apexbio Technology LLC A251650000

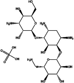
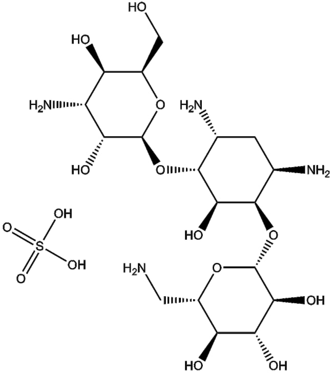
Kanamycin sulfate is an aminoglycoside antibiotic commonly utilized in molecular biology as a selective agent due to its capacity to inhibit bacterial protein synthesis Its mode of action involves irreversible binding to the 30S ribosomal subunit disrupting translation initiation and promoting errors during protein elongation This mechanism allows selective growth of genetically modified bacterial strains that express kanamycin resistance genes making it useful in molecular cloning procedures and cell culture experiments Typically kanamycin sulfate is employed at concentrations around 100 mg/ml for selection in microbiological media its IC50 differs by bacterial strain concentration and growth conditions but generally ranges between 1 and 10 g/ml for sensitive bacteria It is highly soluble in aqueous solutions and suitable for research involving recombinant DNA and genetically modified microbial or plant cells
The Fisher Scientific Encompass Program offers items which are not part of our distribution portfolio. These products typically do not have pictures or detailed descriptions. However, we are committed to improving your shopping experience. Please use the form below to provide feedback related to the content on this product.