Learn More
Apexbio Technology LLC DCC-2036 (Rebastinib) 1020172-07-9 10mM (in 1mL DMSO)

Supplier: Apexbio Technology LLC B14045.1

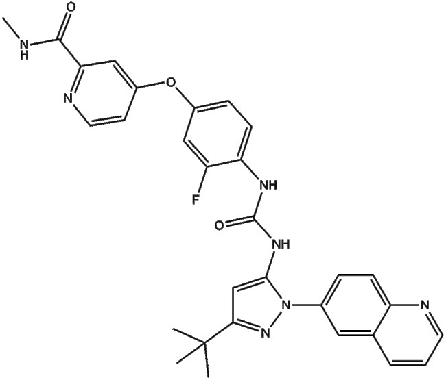
DCC-2036 (Rebastinib CAS 1020172-07-9) is a synthetic small molecule that acts as a conformational control inhibitor of ABL1 kinase By binding simultaneously to the E282/R386 switch-control pocket and the Met318 ATP hinge region DCC-2036 promotes the inactive type II conformation of ABL1 It exhibits potent inhibition of wild-type ABL1 (IC50 0 8 nM) and retains activity against the gatekeeper mutant ABL1T315I (IC50 4 nM) DCC-2036 demonstrates non-ATP-competitive inhibition and suppresses the proliferation of Ba/F3 and K562 cells in vitro It also extends survival in mouse models engrafted with BCR-ABL1T315I leukemic cells indicating its utility in research on tyrosine kinase inhibitor resistance in leukemia
The Fisher Scientific Encompass Program offers items which are not part of our distribution portfolio. These products typically do not have pictures or detailed descriptions. However, we are committed to improving your shopping experience. Please use the form below to provide feedback related to the content on this product.