Learn More
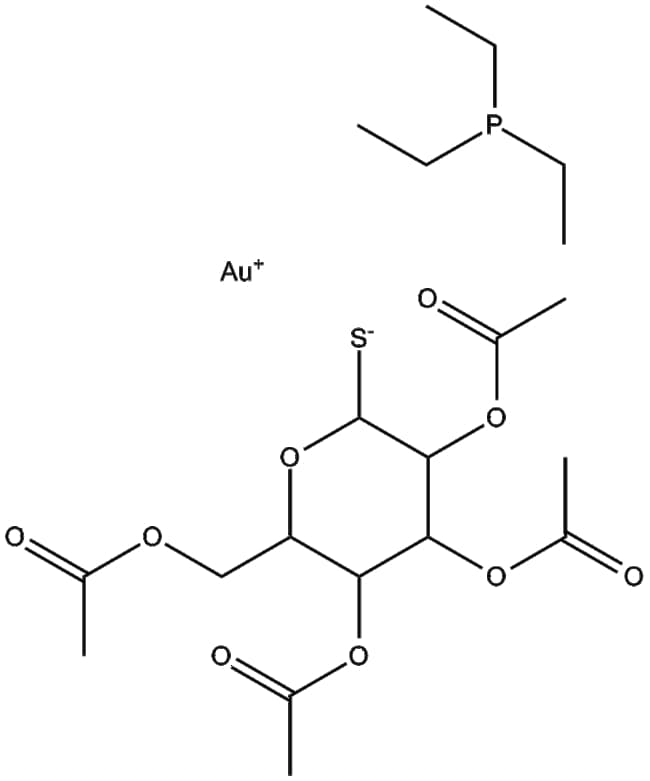
Apexbio Technology LLC Auranofin(Synonyms: Ridaura, SKF-39162, Gold Sodium Thiomalate, Triethylphosphine gold(I) tetraacetylthioglucose), 10mg, CAS: 34031-32-8.

Supplier: Apexbio Technology LLC B768710
Auranofin (CAS 34031-32-8) is a small molecule inhibitor targeting thioredoxin reductase (TrxR) a flavoenzyme responsible for channeling electrons from NADPH to thioredoxin crucial in various physiological processes including apoptosis and oxidative stress response Auranofin inhibits TrxR with an IC50 of approximately 88 nM In assays against Helicobacter pylori this inhibitor suppressed bacterial growth at concentrations around 1 2 M Additionally treatment of murine 4T1 and EMT6 tumor cells with Auranofin (3 10 M) enhanced their sensitivity to radiation treatment underscoring its potential for biomedical research in oncology and antimicrobial studies
The Fisher Scientific Encompass Program offers items which are not part of our distribution portfolio. These products typically do not have pictures or detailed descriptions. However, we are committed to improving your shopping experience. Please use the form below to provide feedback related to the content on this product.