Learn More
Apexbio Technology LLC CHIR-99021 (CT99021) 252917-06-9 10mg

Supplier: Apexbio Technology LLC A301110
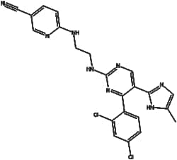
CHIR-99021 (CT99021 CAS 252917-06-9) is a selective inhibitor of glycogen synthase kinase-3 (GSK-3) targeting both isoforms GSK-3 and GSK-3 with IC50 values of approximately 10 nM and 6 7 nM respectively Through inhibition of GSK-3 CHIR-99021 stabilizes downstream factors like -catenin and c-Myc supporting pluripotency and self-renewal in mouse embryonic stem (ES) cells such as B6 BALB/c and J1 mESC lines Additionally its use influences signaling pathways including Wnt/ -catenin TGF- /Nodal and MAPK and modulates epigenetic regulators like Dnmt3l impacting differentiation and proliferation processes in thymocytes
The Fisher Scientific Encompass Program offers items which are not part of our distribution portfolio. These products typically do not have pictures or detailed descriptions. However, we are committed to improving your shopping experience. Please use the form below to provide feedback related to the content on this product.