Promotional price valid on web orders only. Your contract pricing may differ. Interested in signing up for a dedicated account number?
Learn More

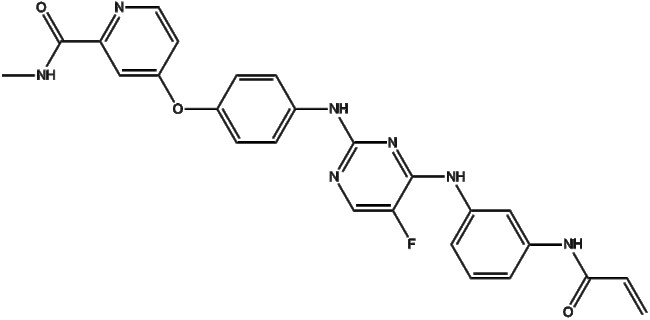
Apexbio Technology LLC CNX-774 1202759-32-7 5mg
SDP

Supplier:  Apexbio Technology LLC B14085

Encompass_Preferred

CNX-774 (CAS 1202759-32-7) is an orally bioavailable covalent and selective inhibitor of Bruton s tyrosine kinase (BTK) It forms an irreversible bond with the cysteine 481 residue in the ATP binding site of BTK In biochemical assays CNX-774 inhibits BTK activity with an IC below 1 nM in cellular assays inhibition occurs at 1 10 nM BTK plays a critical role in B cell receptor (BCR) signaling and mast cell activation processes central to B cell maturation and function CNX-774 is utilized as a tool compound in studies of B cell signaling autoimmune disease and related immune pathway research

Catalog No. 50-000-91196


May include imposed supplier surcharges.
Only null left
Add to Cart

Product Content Correction

The Fisher Scientific Encompass Program offers items which are not part of our distribution portfolio. These products typically do not have pictures or detailed descriptions. However, we are committed to improving your shopping experience. Please use the form below to provide feedback related to the content on this product.

Product Title

By clicking Submit, you acknowledge that you may be contacted by Fisher Scientific in regards to the feedback you have provided in this form. We will not share your information for any other purposes. All contact information provided shall also be maintained in accordance with our Privacy Policy.

Your feedback has been submitted: Thank you for helping us improve our website.