Learn More
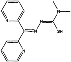
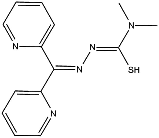
Apexbio Technology LLC Dp44mT 152095-12-0 50mg

Supplier: Apexbio Technology LLC B602150
Dp44mT (CAS 152095-12-0) is a small molecule iron chelator that selectively inhibits topoisomerase II a critical enzyme involved in chromosome segregation DNA replication and transcription In human breast cancer MDA-MB-231 cells Dp44mT exhibits a GI50 of approximately 100 nmol/L Experiments indicate that its cytotoxic effects are reduced in cells with diminished topoisomerase II expression underscoring target specificity Dp44mT treatment leads to the formation of covalent DNA-topoisomerase II complexes without affecting topoisomerase I or II These properties support its utility in studies on DNA damage enzymatic selectivity and mechanisms underlying cancer cell cytotoxicity
The Fisher Scientific Encompass Program offers items which are not part of our distribution portfolio. These products typically do not have pictures or detailed descriptions. However, we are committed to improving your shopping experience. Please use the form below to provide feedback related to the content on this product.