Learn More
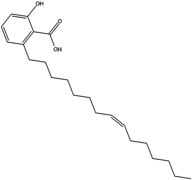
Apexbio Technology LLC Ginkgolic Acid C15:1 22910-60-7 10mg

Supplier: Apexbio Technology LLC C342110
Ginkgolic Acid C15 1 (CAS 22910-60-7) is an alkylphenol derivative isolated from Ginkgo biloba It functions as an inhibitor of protein SUMOylation specifically by interfering with the formation of the E1-SUMO thioester complex via direct binding to the E1 enzyme In vitro studies indicate an IC50 of 3 0 M for inhibition of RanGAP1-C2 SUMOylation Ginkgolic Acid C15 1 demonstrates differential cytotoxicity in primary rat hepatocytes and HepG2 cells modulated by cytochrome P450 inducers and inhibitors Additionally it induces cell cycle arrest and apoptosis in multiple tumor cell lines This compound is widely utilized for research into post-translational modification cytotoxicity and cancer cell biology
The Fisher Scientific Encompass Program offers items which are not part of our distribution portfolio. These products typically do not have pictures or detailed descriptions. However, we are committed to improving your shopping experience. Please use the form below to provide feedback related to the content on this product.