Learn More
Apexbio Technology LLC Famotidine 76824-35-6 10mM (in 1mL DMSO)

Supplier: Apexbio Technology LLC B15605.1

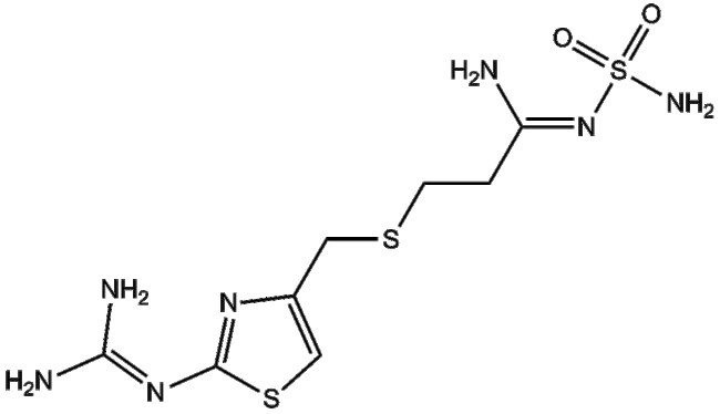
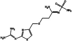
Famotidine (CAS 76824-35-6) is a small-molecule inhibitor that acts as a selective antagonist of the histamine H2 receptor By competitively blocking H2 receptors on gastric parietal cells famotidine suppresses both basal and stimulated gastric acid secretion This mechanism has made famotidine a widely studied compound in gastric physiology research and in investigations related to acid-related gastrointestinal disorders Its pharmacological profile supports its use as a research tool for elucidating histamine-mediated pathways and exploring therapeutic strategies targeting gastric acid secretion
The Fisher Scientific Encompass Program offers items which are not part of our distribution portfolio. These products typically do not have pictures or detailed descriptions. However, we are committed to improving your shopping experience. Please use the form below to provide feedback related to the content on this product.