Promotional price valid on web orders only. Your contract pricing may differ. Interested in signing up for a dedicated account number?
Learn More

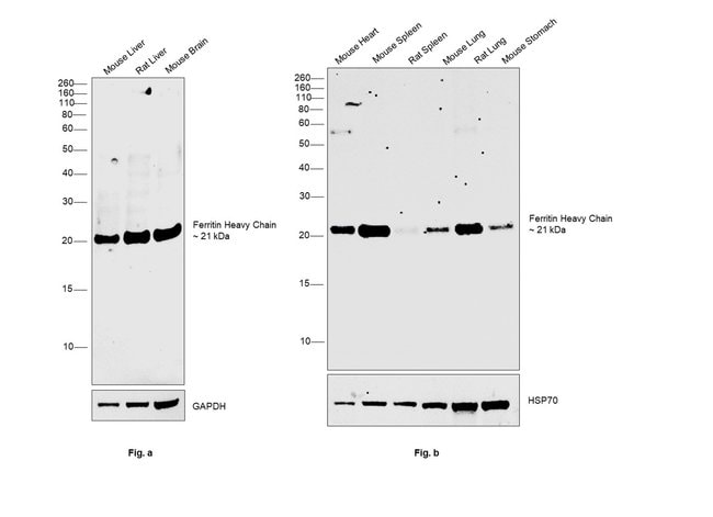
Invitrogen™ Ferritin Heavy Chain Recombinant Rabbit Monoclonal Antibody (9H17L10)

Catalog No. PI701934
Change view
Click to view available options
Quantity:
100 μg
1 product options available for selection
Product selection table with 1 available options. Use arrow keys to navigate and Enter or Space to select.
Catalog No. Quantity
PI701934 100 μg
Use arrow keys to navigate between rows. Press Enter or Space to select a product option. 1 options available.
1 options
Catalog No. PI701934 Supplier Invitrogen™ Supplier No. 701934
Only null left
Add to Cart
Add to Cart

Rabbit Recombinant Monoclonal Antibody

This antibody is predicted to react with Monkey, Dog, Cat and Pig Recombinant rabbit monoclonal antibodies are produced using in vitro expression systems. The expression systems are developed by cloning in the specific antibody DNA sequences from immunoreactive rabbits. Then, individual clones are screened to select the best candidates for production. The advantages of using recombinant rabbit monoclonal antibodies include: better specificity and sensitivity, lot-to-lot consistency, animal origin-free formulations, and broader immunoreactivity to diverse targets due to larger rabbit immune repertoire.

FTH1 is the heavy subunit of ferritin, the major intracellular iron storage protein in prokaryotes and eukaryotes. It is composed of 24 subunits of the heavy and light ferritin chains. Variation in ferritin subunit composition may affect the rates of iron uptake and release in different tissues. A major function of ferritin is the storage of iron in a soluble and nontoxic state. Defects in ferritin proteins are associated with several neurodegenerative diseases. This gene has multiple pseudogenes. Several alternatively spliced transcript variants have been observed, but their biological validity has not been determined.
TRUSTED_SUSTAINABILITY

Specifications

Antigen Ferritin Heavy Chain
Applications Western Blot, Immunocytochemistry
Classification Recombinant Monoclonal
Clone 9H17L10
Concentration 0.5 mg/mL
Conjugate Unconjugated
Formulation PBS with 0.09% sodium azide; pH 7.4
Gene FTH1
Gene Accession No. P02794, P09528, P19132
Gene Alias apoferritin; cell proliferation-inducing gene 15 protein; Ferritin H subunit; ferritin heavy chain; ferritin heavy chain 1; Ferritin heavy chain, N-terminally processed; Ferritin subunit H; ferritin, heavy polypeptide 1; FHC; frih; FTH; Fth1; FTHL6; HFE5; H-ferritin; HFt; MFH; MGC104426; OK/SW-cl.84; PIG15; placenta immunoregulatory factor; PLIF; proliferation-inducing protein 15
Gene Symbols FTH1
Host Species Rabbit
Immunogen Peptides corresponding to Human FTH1 (aa 41-54, 77-95).
Purification Method Protein A
Quantity 100 μg
Regulatory Status RUO
Primary or Secondary Primary
Gene ID (Entrez) 14319, 2495, 25319
Target Species Human, Mouse, Rat
Content And Storage Store at 4°C short term. For long term storage, store at -20°C, avoiding freeze/thaw cycles.
Product Type Antibody
Form Liquid
Isotype IgG
Show More Show Less
Product Title
Select an issue

By clicking Submit, you acknowledge that you may be contacted by Fisher Scientific in regards to the feedback you have provided in this form. We will not share your information for any other purposes. All contact information provided shall also be maintained in accordance with our Privacy Policy.