Promotional price valid on web orders only. Your contract pricing may differ. Interested in signing up for a dedicated account number?
Learn More
Learn More
Invitrogen™ Filamin 2 Polyclonal Antibody

Rabbit Polyclonal Antibody
Supplier: Invitrogen™ PA545573
Description
Peptide sequence: VGKSADFVVE AIGTEVGTLG FSIEGPSQAK IECDDKGDGS CDVRYWPTEP Sequence homology: Cow: 100%; Dog: 100%; Guinea Pig: 100%; Horse: 100%; Human: 100%; Mouse: 100%; Rabbit: 100%; Rat: 100%; Zebrafish: 100%.
This gene encodes one of three related filamin genes, specifically gamma filamin. These filamin proteins crosslink actin filaments into orthogonal networks in cortical cytoplasm and participate in the anchoring of membrane proteins for the actin cytoskeleton. Three functional domains exist in filamin: an N-terminal filamentous actin-binding domain, a C-terminal self-association domain, and a membrane glycoprotein-binding domain. Two transcript variants encoding different isoforms have been found for this gene.
Specifications
| Filamin 2 | |
| Polyclonal | |
| Unconjugated | |
| FLNC | |
| 1110055E19Rik; ABP-280; ABP280A; ABP-280-like protein; ABPA; ABPL; ABP-L; ABP-L, gamma filamin; actin binding protein 280; actin-binding protein 280; actin-binding-like protein; filamin C; Filamin C gamma; filamin C, gamma; filamin C, gamma (actin binding protein 280); filamin, gamma; filamin-2; Filamin-C; FLJ10186; FLN2; FLNC; FLN-C; gamma filamin; gamma-filamin; MFM5; MPD4 | |
| Rabbit | |
| Affinity Chromatography | |
| RUO | |
| 2318 | |
| -20°C, Avoid Freeze/Thaw Cycles | |
| Liquid |
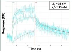
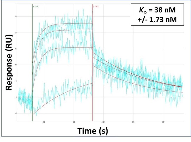
| Western Blot, Surface Plasmon Resonance | |
| 0.5 mg/mL | |
| PBS with 2% sucrose and 0.09% sodium azide | |
| Q14315 | |
| FLNC | |
| Synthetic peptide directed towards the N-terminal of human FLNC (aa 586-635). | |
| 100 μL | |
| Primary | |
| Human | |
| Antibody | |
| IgG |
Safety and Handling
WARNING: Cancer - www.P65Warnings.ca.gov
Product Content Correction
Your input is important to us. Please complete this form to provide feedback related to the content on this product.
Product Title
Spot an opportunity for improvement?Share a Content Correction