Learn More
Apexbio Technology LLC Caffeic acid 331-39-5 10mM (in 1mL DMSO)

Supplier: Apexbio Technology LLC N17355.1
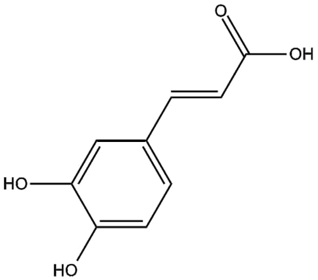
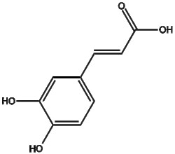
Caffeic acid (CAS 331-39-5) is a naturally occurring hydroxycinnamic acid extracted from plant sources such as Solidago decurrens and large-fruited Chinese hawthorn This small molecule is known for its antioxidant activity primarily through the scavenging of reactive oxygen species and inhibition of lipid peroxidation Caffeic acid has also been reported to modulate various cellular signaling pathways including those related to inflammation and apoptosis Due to its bioactive properties caffeic acid is widely utilized in biomedical research to investigate mechanisms of oxidative stress inflammation and associated cellular events It is soluble in hot water and cold ethanol and should be stored sealed in cool dry conditions
The Fisher Scientific Encompass Program offers items which are not part of our distribution portfolio. These products typically do not have pictures or detailed descriptions. However, we are committed to improving your shopping experience. Please use the form below to provide feedback related to the content on this product.