Learn More
Apexbio Technology LLC Cetrorelix 120287-85-6 5mg

Supplier: Apexbio Technology LLC B49755

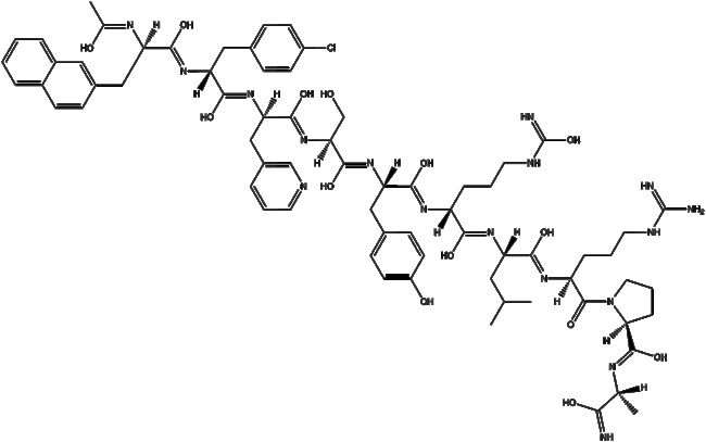
Cetrorelix (CAS 120287-85-6) is a synthetic competitive antagonist of gonadotropin-releasing hormone (GnRH) receptors located in the pituitary gland By blocking these receptors Cetrorelix suppresses the release of endogenous gonadotropins notably inhibiting the secretion and physiological pulsatility of luteinizing hormone (LH) In animal models Cetrorelix has been shown to prevent the LH surge during controlled ovarian stimulation It is employed in biomedical research to investigate mechanisms underlying reproductive endocrinology and to explore protective strategies against chemotherapy-induced ovarian follicle damage
The Fisher Scientific Encompass Program offers items which are not part of our distribution portfolio. These products typically do not have pictures or detailed descriptions. However, we are committed to improving your shopping experience. Please use the form below to provide feedback related to the content on this product.