Learn More
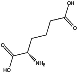
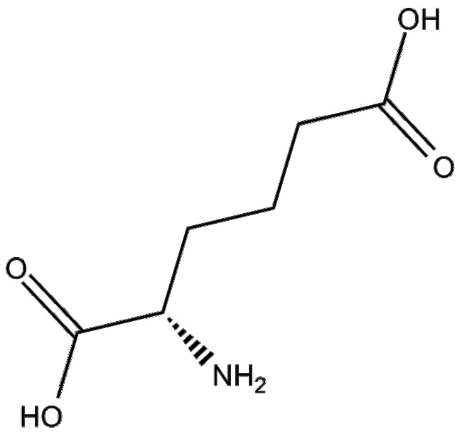
Apexbio Technology LLC L-α-Aminoadipic Acid 1118-90-7 5g

Supplier: Apexbio Technology LLC C54745000
L-alpha-Aminoadipic Acid (1118-90-7) is a small-molecule inhibitor targeting glutamine synthetase It is designed to competitively inhibit glutamine synthetase activity thereby modulating glutamate metabolism and neurotransmission pathways L-alpha-Aminoadipic Acid exerts its biological activity primarily through stereospecific competitive inhibition of glutamine synthetase In in vitro studies L-alpha-Aminoadipic Acid impacts astrocytic function preceding its gliotoxic effects and modulates kynurenic acid production in hippocampal tissues Based on these pharmacological properties L-alpha-Aminoadipic Acid holds research potential in the investigation of astrocyte function and neurological metabolism within neuroscience and pharmacology fields
The Fisher Scientific Encompass Program offers items which are not part of our distribution portfolio. These products typically do not have pictures or detailed descriptions. However, we are committed to improving your shopping experience. Please use the form below to provide feedback related to the content on this product.