Learn More
Apexbio Technology LLC Wiskostatin 253449-04-6 1mg

Supplier: Apexbio Technology LLC B76661

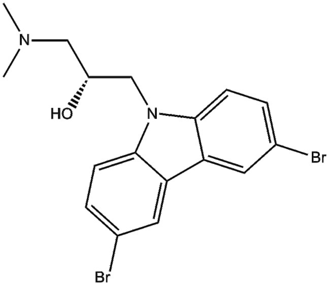
Wiskostatin (CAS 253449-04-6) is a small-molecule inhibitor targeting neural Wiskott-Aldrich syndrome protein (N-WASP) It is designed to inhibit N-WASP-mediated actin polymerization thereby modulating actin cytoskeletal dynamics Wiskostatin exerts its biological activity primarily through binding the regulatory GTPase-binding domain (GBD) of N-WASP stabilizing its inactive conformation This inhibits activation mediated by Cdc42 and phosphatidylinositol 4 5-bisphosphate (PIP2) reducing Arp2/3-complex-dependent actin nucleation and polymerization Based on these pharmacological properties Wiskostatin holds research potential in investigating actin dynamics particularly in neuronal processes such as dendritic spine morphogenesis and synapse formation
The Fisher Scientific Encompass Program offers items which are not part of our distribution portfolio. These products typically do not have pictures or detailed descriptions. However, we are committed to improving your shopping experience. Please use the form below to provide feedback related to the content on this product.