Promotional price valid on web orders only. Your contract pricing may differ. Interested in signing up for a dedicated account number?
Learn More
Learn More
Tocris Bioscience™ BDY FL VH032

Click to view available options
:
2 mg
Description
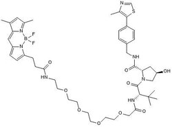
BODIPY FL VH032 is a high-affinity VHL fluorescent probe (Kd = 3.01 nM) with application in time-resolved fluorescence resonance energy-transfer (TR-FRET) assays for high-throughput identification and characterization of VHL ligands. BODIPY FL VH032 consists of a derivative of von Hippel-Lindau (VHL) ligand VH 032 (Cat. No. 6911) and a fluorophore BODIPY FL (Cat. No. 5465) (with excitation peak at 504 nm and emission peak at 520 nm), joined by a polyethylene glycol (PEG) 4 linker. The BODIPY FL VH032 VHL TR-FRET signal is stable through the 90 - 300 min incubation time, and theTR-FRET binding assay is sensitive, selective and resistant to assay interference. BODIPY FL VH032 also exhibits high VHL affinity in a fluorescence polarization (FP) assay. Excitation maximum ∼ 504 nm; emission maximum ∼ 520 nm.
BODIPY® is a registered trademark of Molecular Probes.
Specifications
Specifications
| Chemical Name or Material | (2 S,4 R)-1-(-2-(tert-Butyl)-21-(5,5-difluoro-7,9-dimethyl-5 H-5λ4,6λ4-dipyrrolo[1,2-c:2 ',1 '-f][1,3,2 ]diazaborinin-3-yl)-4,19-dioxo-6,9,12,15-tetraoxa-3,18-diazahenicosanoyl)-4-hydroxy-N-(4-(4-methylthiazol-5-yl)benzyl)pyrrolidine-2-ca |
| Quantity | 2 mg |
| Target | Fluorescent Probes |
| Molecular Formula | C46H62BF2N7O9S |
| Purity | 95% |
Product Content Correction
Your input is important to us. Please complete this form to provide feedback related to the content on this product.
Product Title
Spot an opportunity for improvement?Share a Content Correction